Informe TALIS 2024: la formación continua, motor docente

informe talis

El Estudio Internacional de la Enseñanza y del Aprendizaje (TALIS, por sus siglas en inglés) es una gran encuesta promovida por la OCDE que da voz al profesorado y a los equipos directivos de más de 50 países. Su objetivo es conocer cómo viven los docentes su profesión, qué condiciones tienen, qué retos afrontan y qué apoyos necesitan para seguir mejorando.

España participa en este estudio desde su primera edición en 2008, y el Informe TALIS 2024, publicado el 7 de octubre de 2025 por el Ministerio de Educación, Formación Profesional y Deportes, ofrece una radiografía actualizada del sistema educativo español desde la perspectiva de quienes están cada día en las aulas.

En esta edición, uno de los capítulos más reveladores es el dedicado a la formación continua del profesorado: un ámbito que refleja tanto el compromiso docente con el aprendizaje permanente como los desafíos pendientes para que ese esfuerzo tenga un impacto real.

 

Casi todo el profesorado se forma… pero no siempre en lo que necesita

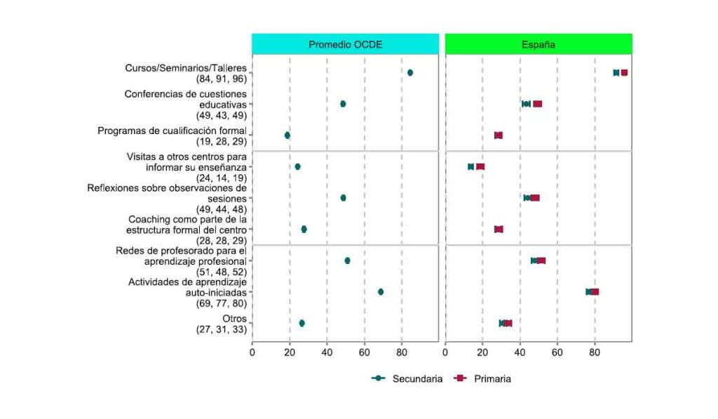
El estudio muestra que la formación continua es casi universal en España. Más del 95 % del profesorado participa en cursos, talleres o actividades formativas, una cifra que sitúa a nuestro país entre los más activos de la OCDE. La mayoría opta por formación práctica y aplicada, especialmente en metodologías activas, competencias digitales o atención a la diversidad.

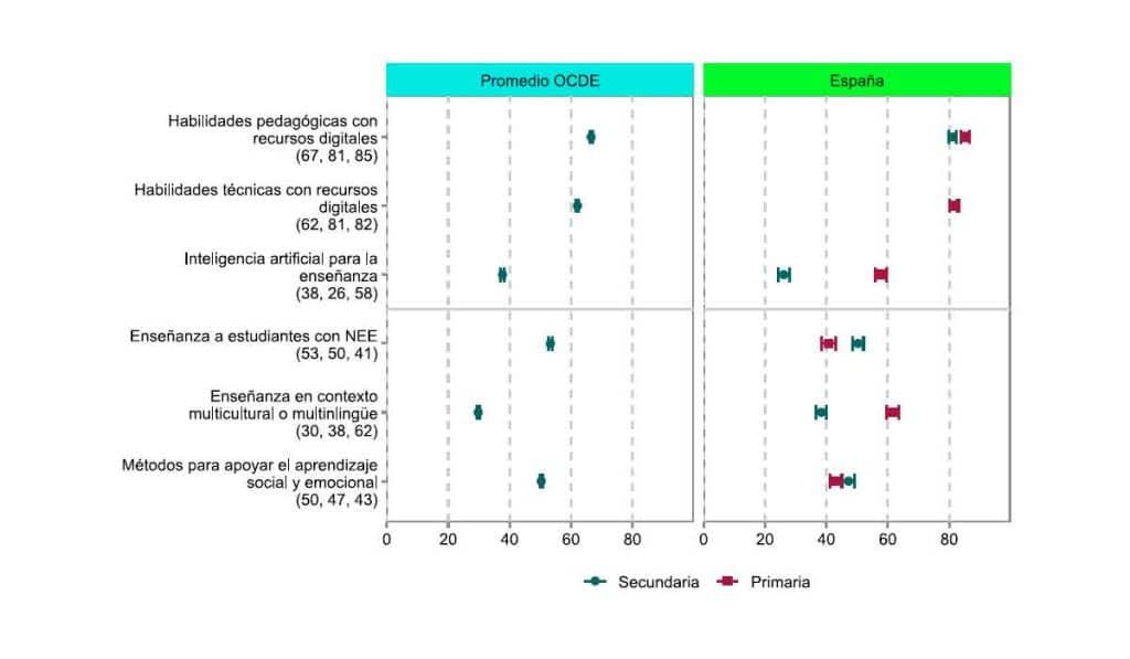
Sin embargo, el TALIS también advierte: no toda la formación responde a las verdaderas necesidades docentes. Ámbitos clave como la inclusión educativa, la gestión emocional del aula o la Inteligencia Artificial aplicada a la educación siguen siendo áreas en las que el profesorado demanda más apoyo.

Informe Talis
Modalidades de formación continua en las que participa el profesorado en España y en el promedio de la OCDE (TALIS 2024). Fuente: Informe TALIS 2024 (OCDE / Ministerio de Educación, Formación Profesional y Deportes).

 

Las barreras: tiempo, carga de trabajo y recursos

Los datos son claros: el principal obstáculo para seguir formándose es la falta de tiempo. A la intensa carga lectiva se suman las tareas administrativas, la atención a la diversidad y las exigencias burocráticas. El profesorado español quiere formarse, pero necesita espacios reales y reconocidos para hacerlo. Además, muchos docentes señalan la escasa compensación profesional de la formación: invertir horas y esfuerzo en aprender no siempre se traduce en reconocimiento o mejora de condiciones.

 

La formación que más impacto tiene

Según TALIS, las acciones más valoradas por el profesorado son las colaborativas y centradas en la práctica: comunidades de aprendizaje, observación entre iguales, mentorías y proyectos compartidos dentro del centro. Es decir, la formación que parte de la experiencia y vuelve a ella: aprender de otros docentes, reflexionar sobre la propia práctica y aplicar los cambios de inmediato. El estudio también destaca una tendencia creciente: el uso de entornos online y flexibles. La digitalización ha democratizado el acceso a la formación, permitiendo que cada docente elija el ritmo y los temas que más se ajustan a su realidad.

Actualidad, novedades, promociones y mucho más... ¡suscríbete a nuestra newsletter!

 

Un nuevo horizonte: IA, sostenibilidad y bienestar docente

El informe TALIS 2024 incorpora por primera vez ejes emergentes que redefinirán la formación del profesorado en los próximos años:

  • Inteligencia Artificial: cómo aprovecharla sin perder el foco humano.
  • Educación para la sostenibilidad: integrar los ODS en el aula.
  • Aprendizaje socioemocional: cuidar las emociones propias y del alumnado.

 

Estos ámbitos conectan directamente con los nuevos desafíos educativos: preparar a los alumnos para un mundo cambiante y, al mismo tiempo, cuidar el bienestar del propio profesorado.

informe talis
Ámbitos en los que el profesorado considera que necesita más formación, según el informe TALIS 2024. Fuente: OCDE / Ministerio de Educación, Formación Profesional y Deportes.

 

Formarse es cuidarse

El informe TALIS 2024 confirma que el profesorado español es uno de los más comprometidos con su desarrollo profesional. Pero también recuerda que la formación no puede ser un esfuerzo individual, sino una prioridad colectiva e institucional. Invertir en formación docente es invertir en la calidad, la innovación y el bienestar de todo el sistema educativo.

Si quieres acceder al informe completo, puedes descargártelo desde aquí: TALIS 2024.

Y si te interesa seguir creciendo como docente, en idDOCENTE encontrarás formación online para docentes y centros educativos práctica, actual y homologada, pensada para transformar tu aula… y tu forma de enseñar.

Deja una respuesta

RESPONSABLE DE LOS DATOS: Innovación y Desarrollo Docente, S.L. FINALIDAD: gestión del envío de la información solicitada, así como comunicaciones de la empresa y del sector educativo. LEGITIMACIÓN: consentimiento del interesado. DESTINATARIOS: los datos no se cederán a ningún tercero, salvo obligación legal. DERECHOS: tienes derecho a acceder, rectificar y suprimir los datos, portabilidad de los datos, limitación u oposición a su tratamiento. INFORMACIÓN ADICIONAL: puedes consultar la información adicional y detallada sobre Protección de Datos en el enlace al pie de esta página